比例的妙用有哪些?

比例的妙用有哪些?

比和比例的主要内容包括比的意义和性质;比例尺;按比例分配以及正比例、反比例。
 
一、基础知识
 
1.比的意义和基本性质
 
两个数相除又叫做两个数的比。
 
比例的妙用有哪些?
比例的妙用有哪些?
 
树棵数的比是17比11,柳树与杨树棵数的比是11比17。
 
可见,“比”是对两个数进行比较的一种方法(表示两个数相除的关系),它与两个数之间比较多与少的关系不同(这是两个数相差关系),它与球类比赛中的“几比几”的含义也不相同。这在理解比的意义时绝不能混淆。
 
若用a与b表示两个数,用q表示a与b的比,那么a∶b=q,“∶”是比号,a则叫做比的前项,b叫做比的后项,q叫做比值。比的前项与后项不可任意颠倒。在a≠b的情况下,a∶b和b∶a是完全不同的两个比(b∶a是a∶b的反比)。
 
两个量相比时,这两个量可以是同类量,也可以是不同类量。两个同类量相比,如果要把它们转化成两个数相比的时候,要先把这两个量化成同级单位的数然后相比;两个不同类的量相比,要求“比”一定要有实际意义,决不是任意两个量都可以相比。例如,“走15千米的路,用了3小时”,写成路程与时间的比就是15∶3,比值是5,表示每小时行5千米,是速度。不同类量的比就产生了一个新的量。又如,“甲有8支铅笔,乙有2本课外书”,它们之间就不能相比,因为它们之间没有联系,比也没有实际意义。
 
比与除法,与分数既有联系,又有区别
 
根据除法里商不变的性质和分数的基本性质,可以得到比的基本性质:比的前项和后项都乘以或都除以相同的数(零除外),比值不变。我们可以利用比的基本性质化简比。
 
2.比例尺
 
图上距离与实际距离的比,就叫做比例尺,可以写成:
 
比例的妙用有哪些?
 
从上面的式子可以看出,图距相当于比的前项,实距相当于比的后项,比例尺相当于比值。根据这一关系,可以求出其中任何一个未知项。
 
比例尺不是我们通常说的那种“尺子”,不是具体的度量长度的工具,而是一个比,因此,它没有计量单位。在实际应用中,比例尺的前项(表示图距的项)一般都化成“1”。例如,我们在地图上见到的比例尺有1:1000000
 
比例的妙用有哪些?
 
距离放大一定的倍数得出的,它的比例尺的后项一般为“1”,例如有一幅精密仪表图比例尺是20∶1。
 
3.按比例分配
 
把一个数量按一定比例分成几个部分,叫做按比例分配。这个“数量”必须是这几个部分的总和。这“几部分”之间的比等于一个定比,在小学只学习“正比例分配问题”。
 
例如,有400本图书,按照3∶2分配给甲乙两所学校。问这两所学校各分得图书多少本?
 
这道题中的分配比是3∶2,表示甲校占3份,乙校占2份,它们的总数是400本。在解题时,基本思路是与“求一个数的几分之几是多少”的应用题相同,只是没有直接给出每一部分各占总数的几分之几而已。
 
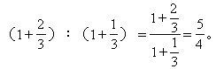
4.比例的意义和基本性质
 
表示两个比相等的式子叫做比例。
 
例如:3∶2=1.5,9∶6=1.5,则这两个比可组成比例为:
 
比例的妙用有哪些?
 
比和比例是两个不同的概念。比表示两个数相除的关系,有前项,后项;
 
比例的妙用有哪些?
 
两个内项,a,d叫外项,b,c叫内项,任意两个数都可以相比(只要零不作后项),但是并非任意4个数都可以成比例。
 
在比例里,两个外项的积等于两个内项的积。这就是比例的基本性质。
 
即,若a∶b=c∶d,则ad=bc。
 
根据比例的基本性质,可以解比例,求出比例中任意一个未知项。
 
5.正比例和反比例的意义
 
两种相关联的量,一种量变化,另一种量也随着变化,如果这两种量中相对应的两个数的比值一定(也就是商一定),这两种量就叫做成正比例的量,它们之间的关系叫做正比例关系;如果这两种量中相对应的两个数的积一定,这两种量就叫做成反比例的量,它们之间的关系叫做反比例关系。
 
比例的妙用有哪些?
 
价”一定,也就是总价与数量的比值一定,则总价与数量成正比例。
 
比例的妙用有哪些?
 
又如:速度、时间和路程三种量之间的关系是,速度×时间=路程。如果“路程”一定,也就是速度与时间的积一定,则速度与时间成反比例。
 
用公式概括这种数量关系,即xy=k(一定)。
 
6.正比例与反比例应用题
 
有些应用题里的两种量是成正比例或反比例关系的,可以用比例方法解。比例方法实际上也是列方程的解法。解题时要在认真审题的基础上,按下面的步骤进行:
 
(1)分析、判断两种相关联的量成什么比例。
 
(2)设未知数x,根据比例关系列出比例式。
 
(3)解比例。
 
(4)验算、答题。
 
二、比例知识的应用
 
1.比的应用
 
在日常生活中,比的知识有广泛的应用,主要有以下几方面:
 
(1)比例尺
 
在绘制地图、建筑设计平面图或机器零件设计图时,需要把实际长度缩小(或者扩大)一定的倍数,这就要按实际需要确定比例,
 
比例的妙用有哪些?
 
比例的妙用有哪些?
比例的妙用有哪些?
 
分析:这是根据比例尺和图距,求实距,再依据实距与比例尺求图距的问题。
 
∵图距实距=比例尺
 
解:①设两地实际距离为x厘米
 
比例的妙用有哪些?
 
x=35×4000000
 
x=140000000
 
②设两地图上距离为x厘米
 
比例的妙用有哪些?
 
比例的妙用有哪些?
 
(2)按比例分配
 
比例的妙用有哪些?
 
乙校与丙校植树棵数的比是4∶5,甲校比丙校少植树64棵。甲、乙、丙三校各植树多少棵?
 
分析:这道应用题没有直接告诉三校总共植树多少棵,而这又是解答全题的关键数量,必须全力先求出来。
 
比例的妙用有哪些?
比例的妙用有哪些?
比例的妙用有哪些?
 
(丙校植的树占总数的份数)。
 
甲校比丙校少植树64棵,它们占总数的份数差为
 
比例的妙用有哪些?
 
比例的妙用有哪些?
 
再分别求出甲、乙、丙三校各自植树多少棵。
 
比例的妙用有哪些?
 
比例的妙用有哪些?
 
比例的妙用有哪些?
 
答:从略。
 
解答按比例分配问题时,要十分注意求出的部分量是谁的,千万不能张冠李戴。
 
(3)求两个量之间的倍数关系。
 
这类题与前两类题的区别在于,前两类题所要求的都是实际数量,而这类题所要求的是两个量之间的倍数关系。在解题思路上与“求一个数是另一个数的几分之几”相似。
 
例3 有三堆棋子,每堆棋子数一样多,并且都只有黑、白两色棋子,第
比例的妙用有哪些?
 
把三堆棋子集中在一起,问白子占全部棋子的几分之几?
 
解法1 设全部棋子数为“1”。
 
分析:依题意,若调换第一、二堆中的黑、白子,则第一堆中全是白子,第二堆中全是黑子,且棋子数相等。因此,第一堆、第二堆里黑子总数占全部
 
比例的妙用有哪些?
 
比例的妙用有哪些?
比例的妙用有哪些?
 
比例的妙用有哪些?
比例的妙用有哪些?
 
比例的妙用有哪些?
 
解法2 设每一堆棋子数为“1”,又设第三堆里的黑子占一堆数中的份数是x。我们可以依据第一堆和第二堆里的黑子与第三堆里的黑子数相比,写成比例式:
 
比例的妙用有哪些?
 
比例的妙用有哪些?
 
比是:
 
比例的妙用有哪些?
 
比例的妙用有哪些?
 
答:从略。
 
2.比例的应用
 
用比例方法解答应用题,首先要正确判断题中给定的数量关系是成正比例的关系,还是成反比例的关系;还要抓住对应关系。
 
例4有一只挂钟,每走一昼夜快5分种,挂钟在上午10时对准,走到第二天早晨时时针走到6时,这时的准确时间是几时?
 
解:准确的钟走一昼夜的时间合多少“分”?
 
60×24=1440(分)
 
题中的挂钟走一昼夜的时间是多少“分”?
 
60×24+5=1445(分)
 
从上午10时,到第二天6时,挂钟走的时间是多少“分”?
 
60×20=1200(分)
 
假设挂钟走1200分时,准确的钟走x分,则走过的时间与挂钟的误差成正比例。
 
即1445∶1440=1200∶x
 
比例的妙用有哪些?
 
比例的妙用有哪些?
 
比例的妙用有哪些?
 
例5一根木料长2米,锯成每段长0.5米的,需要4小时30分;如果要锯成每段长40厘米的,需要多少时间?
 
解:木料长2米,锯成每段长0.5米的,可锯成2÷0.5=4(段),需要锯2÷0.5-1=3(次)
 
而锯成每段长40厘米的,可以锯成2÷0.4=5(段),需要锯2÷0.4-1=4(次)
 
设需要x小时。
 
比例的妙用有哪些?
 
答:需要6小时。
 
例6 甲乙两个作业组运送同样多的货物,甲组每天运300吨,乙组每天运200吨,结果甲组比乙组提前5天完成了任务。两组各用了多少天?
 
解法1:甲、乙两组运送同样多的货物,即工作总量一定。两组的工效比等于两组的工时的反比,即,甲、乙工效比是300÷200=3∶2
 
甲、乙的工时比为2∶3
 
设乙组用了x天,则甲组用了(x-5)天
 
300∶200=x∶(x-5)
 
300x-1500=200x
 
100x=1500
 
x=15
 
x-5=15-5=10
 
答:甲组用了10天,乙组用了15天。
 
解法2:工作总量一定则工效与工时成反比例。
 
设乙组用x天,则甲组用了(x-5)天
 
300(x-5)=200x
 
300x-200x=1500
 
100x=1500
 
x=15
 
x-5=15-5=10(天)
 
答:从略。
 
习题九
 
1.上海到北京的距离是1480千米,如果用1厘米表示37千米,那么地图上这两地的距离是多少厘米?
 
2.有5个数的比为1∶2∶3∶4∶5,已知第五个数比第二个数大6.3。这五个数分别是多少?
 
3.两地相距108千米,甲乙二人骑自行车由两城同时相向而行,4小时相遇。已知甲、乙二人骑车速度之比是4∶5。求二人每小时各行多少千米?
 
比例的妙用有哪些?
 
体框架,并使它的长、宽、高之比为2∶1∶3。这个长方体的体积是多少?
 
5.甲、乙、丙三村准备合作修筑一条公路,他们原计划按9∶8∶3派工,后因丙村不出工人,将他承担的任务请甲、乙村分担,由丙村出工资360元,结果甲村共派出45人,乙村共派出35人,完成了修路任务。问甲、乙两队各应分得丙村所付的工资多少元?
 
6.3个工人5小时能生产60个零件,如果增加2名工人,再生产3小时,又可生产零件多少个?
 
7.粮库内有两堆粮食,堆放粮食数量的比是3∶1,若从甲堆调到乙堆上240吨后,则甲乙两粮堆存粮数的比是3∶5,求甲、乙两堆粮食原来各有粮多少吨?
 
8.甲乙两车从相距525千米的两地相向而行,经过3.5小时后还相距全程
比例的妙用有哪些?
 
千米?
 
9.有大、小两个齿轮,它们啮合在一起。大齿轮有48个齿,小齿轮有32个齿,大齿轮每分钟转100次,问小齿轮20秒转多少次?
 
10.装配自行车,3个工人2小时能装配车架11个;4个工人3小时能装配车轮20个;现有工人96人,为了使车架,车轮及时装配成车出厂,应安排装车架和车轮的工人各多少人?